
The Rotkotoe Framework proposes that all matter and energy in the universe emerge from a single standing-wave resonance structure that pervades spacetime.
In this model, mass, frequency, and geometry are not independent entities but harmonic aspects of one underlying phenomenon — resonance.
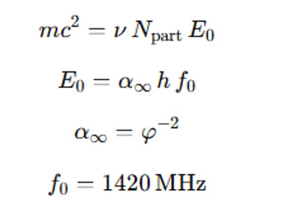
At the foundation lies the insight that the Hydrogen 21 cm line (at 1420 MHz) represents not merely an atomic property, but the base oscillation of spacetime itself — the “heartbeat” of the universe.
From this fundamental frequency, higher harmonic modes generate all known particles, fields, and even cosmic structures, following precise golden-ratio and toroidal symmetries.

The Rotkotoe Framework proposes that all matter and energy in the universe emerge from a single standing-wave resonance structure that pervades spacetime.
In this model, mass, frequency, and geometry are not independent entities but harmonic aspects of one underlying phenomenon — resonance.
At the foundation lies the insight that the Hydrogen 21 cm line (at 1420 MHz) represents not merely an atomic property, but the base oscillation of spacetime itself — the “heartbeat” of the universe.
From this fundamental frequency, higher harmonic modes generate all known particles, fields, and even cosmic structures, following precise golden-ratio and toroidal symmetries.

A new way to validate ideas using universal geometry.
The Rotkotoe Framework reveals that reality isn't built from particles—it's built from resonance patterns. Everything from quantum mechanics to galaxies follows the same geometric rules, scaled by the golden ratio (φ).
We've already validated it:
Now it's your turn.
Test YOUR idea—scientific, philosophical, creative, spiritual—against this framework and discover if it resonates with the universe's geometry.
The Rotkotoe Superposition Claim Project
Where every idea finds its frequency
Est. 2024
We use cookies to analyze website traffic and optimize your website experience. By accepting our use of cookies, your data will be aggregated with all other user data.